关键字: 个
冷库设计标准 GB50072-2021
- 制定机关:中华人民共和国住房和城乡建设部 国家市场监督管理总局
- 公布日期:2021-06-28
- 法规文号/标准号:GB50072-2021
- 施行日期:2021-12-01
冷库设计标准 GB50072-2021-环安宝@法规宝
A.0.1 供暖地区地面防冻的加热计算应采用稳定传热计算公式。部分土壤热物理系数宜按表A.0.1的规定确定。

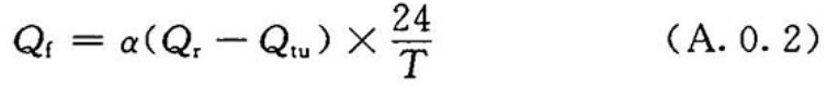
A.0.2 供暖地区机械通风地面防冻加热负荷应按下式计算:

式中:
Qf——地面加热负荷(W);
Qf——地面加热负荷(W);
a——计算修正值,当室外年平均气温小于10℃时,宜取1;当室外年平均气温不低于10℃时,宜取1.15;
Qr——地面加热层传入冷间的热量(W);
Qtu——土壤传给地面加热层的热量(W);
Qr——地面加热层传入冷间的热量(W);
Qtu——土壤传给地面加热层的热量(W);
T——通风加热装置每日运行的时间,一般不宜小于4h。
A.0.3 机械通风地面加热层传入冷间的热量Qr应按下式计算:

式中:
Qr——地面加热层传入冷间的热量(W);
Fd——冷间地面面积(㎡);
tr——地面加热层的温度(℃);
tn——冷间内的空气温度(℃);
Kd—冷间地面的传热系数[W/(㎡·℃)]
Qr——地面加热层传入冷间的热量(W);
Fd——冷间地面面积(㎡);
tr——地面加热层的温度(℃);
tn——冷间内的空气温度(℃);
Kd—冷间地面的传热系数[W/(㎡·℃)]
A.0.4 土壤传给地面加热层的热量Qtu应按下式计算:

式中:
Qtu——土壤传给地面加热层的热量(W);
Fd—冷间地面面积(m):
Qtu——土壤传给地面加热层的热量(W);
Fd—冷间地面面积(m):
ttu——土壤温度(℃);
tr——地面加热层的温度(℃),宜取1℃~2℃。
tr——地面加热层的温度(℃),宜取1℃~2℃。
Ktu——土壤传热系数[W/(㎡·℃)]。
A.0.5 土壤温度取地面下3.2m深处历年最低两个月的土壤平均温度,应按表A.0.5的规定确定。当缺少该项资料时,可按当地年平均气温减2℃计算。


A.0.6 土壤传热系数Km应按下式计算:

式中:
Ktu——土壤传热系数[W/(㎡·℃)];
Ktu——土壤传热系数[W/(㎡·℃)];
δtu——土壤计算厚度,一般采用3.2m;
λtu——土壤的导热系数[W/(m·℃)];
λtu——土壤的导热系数[W/(m·℃)];
δi-n——加热层至土壤表面各层材料的厚度(m);
λi-n——加热层至土壤表面各层材料的导热系数[W/(m·℃)]。
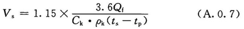
A.0.7 机械通风送风量应按下式计算:

式中:
Vs——送风量(m³/h);
Vs——送风量(m³/h);
Qf——地面加热负荷(w);
Ck——空气比热容k]/(kg·℃)];
ρk——空气密度(kg/m³);
Ck——空气比热容k]/(kg·℃)];
ρk——空气密度(kg/m³);
ts——送风温度(℃),一般宜取10℃。
tp——排风温度(℃),一般宜取5℃。
条文说明
A.0.1 本表摘自《建筑材料热物理性能》(中国建筑工业出版社,1981年出版)。
tp——排风温度(℃),一般宜取5℃。
条文说明
A.0.1 本表摘自《建筑材料热物理性能》(中国建筑工业出版社,1981年出版)。
- 上一节: {{previousInfo.title}} 没有了
- 下一节: {{nextInfo.title}} 没有了