交流电气装置的接地设计规范 GB/T50065-2011
- 制定机关:中华人民共和国住房和城乡建设部
- 公布日期:2011-12-05
- 法规文号/标准号:GB/T50065-2011
- 施行日期:2012-06-01
交流电气装置的接地设计规范 GB/T50065-2011-环安宝@法规宝
A.0.1 均匀土壤中垂直接地极的接地电阻可按下列公式计算:
1 当l≥d时,接地电阻可按下式计算(图A.0.1—1):


式中:Rv——垂直接地极的接地电阻(Ω);
ρ——土壤电阻率(Ω · m);
l——垂直接地极的长度(m);
d——接地极用圆导体时,圆导体的直径(m)。
2 当接地极用其他型式导体时,其等效直径可按下式计算(图A.0.1—2):

图A.0.1—2 几种型式导体的计算用尺寸
管状导体,d=d1 (A.0.1—2)
扁导体,d=b/2 (A.0.1—3)
等边角钢,d=0.84b (A.0.1—4)

A.0.2 均匀土壤中不同形状水平接地极的接地电阻,可按下式计算:

式中:Rh——水平接地极的接地电阻(Ω);
L——水平接地极的总长度(m);
h——水平接地极的埋设深度(m);
d——水平接地极的直径或等效直径(m);
A——水平接地极的形状系数,可按表A.0.2的规定采用。
表A.0.2 水平接地极的形状系数

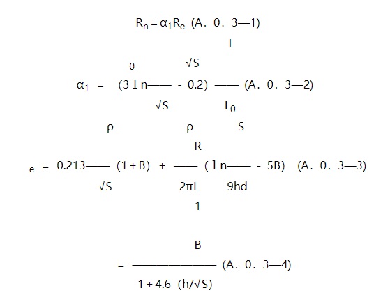
A.0.3 均匀土壤中水平接地极为主边缘闭合的复合接地极(接地网)的接地电阻,可按下列公式计算:

式中:Rn——任意形状边缘闭合接地网的接地电阻(Ω);
Re——等值(即等面积、等水平接地极总长度)方形接地网的接地电阻(Ω);
S——接地网的总面积(m2);
d——水平接地极的直径或等效直径(m);
h——水平接地极的埋设深度(m);
L0——接地网的外缘边线总长度(m);
L——水平接地极的总长度(m)。
A.0.4 均匀土壤中人工接地极工频接地电阻的简易计算,可相应采用下列公式:
垂直式:
R
≈ 0.3ρ (A.0.4—1)
单根水平式:
R
≈ 0.03ρ (A.0.4—2)
复合式(接地网):

式中:S——大于100m2的闭合接地网的面积;
r——与接地网面积S等值的圆的半径,即等效半径(m)。
A.0.5 典型双层土壤中几种接地装置的接地参数,可按下列公式计算:
1 深埋垂直接地极的接地电阻(图A.0.5—1):


图A.0.5—1 深埋接地体示意
2 土壤具有图A.0.5—2所示的两个剖面结构时,水平接地网的接地电阻R:

式中:S1、S2——覆盖在ρ1、ρ2土壤电阻率上的接地网面积(m2);
S——接地网总面积(m2)。

图A.0.5—2 两种土壤电阻率的接地网
- 上一节: {{previousInfo.title}} 没有了
- 下一节: {{nextInfo.title}} 没有了