关键字: 个
交流电气装置的接地设计规范 GB/T50065-2011
- 制定机关:中华人民共和国住房和城乡建设部
- 公布日期:2011-12-05
- 法规文号/标准号:GB/T50065-2011
- 施行日期:2012-06-01
交流电气装置的接地设计规范 GB/T50065-2011-环安宝@法规宝
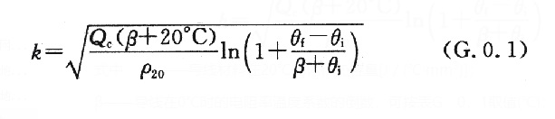
G.0.1本规范第8.2.1条第2款式(8.2.1)中k值可由下式计算:

式中 Qc——导线材料在20℃的体积热容量[J/(℃·mm3)];
β——导线在0℃时的电阻率温度系数的倒数,可按表G.0.1取值(℃)
ρ20——导线材料在20℃时的电阻率,可按表G.0.1取值(Ω·mm);
θI——导线的初始温度(℃);
θf——导线的最终温度(℃)。
表G.0.1 式(G.0.1)中的参数取值

G.0.2 用法不同或运行情况不同的保护导体的k值,可按表G.0.2—1~表G.0.2—5选取。
表G.0.2—1 非电缆芯线且不与其他电缆成束敷设的绝缘保护导体的k

注:温度中的较小数值适用于截面积大于300mm2的PVC绝缘导体。
表G.0.2—2 与电缆护层接触但不与其他电缆成束敷设的裸保护导体的k

表G.0.2—3 电缆芯线或与其他电缆或绝缘导体成束敷设的保护导体的k

注:温度中较小数值适用于截面积大于300mm2的PVC绝缘导体。
表G.0.2—4 用电缆的金属护层,铠装、金属护套、同心导体等作保护导体的k

注:温度的数值也应适用于外露可触及的或与可燃性材料接触的裸导体。
表G.0.2—5 所示温度不损伤相邻材料时的裸导体的k

- 上一节: {{previousInfo.title}} 没有了
- 下一节: {{nextInfo.title}} 没有了